urologen-infoportal-logobar
  
De Novo metastasiertes hormonsensitives Prostatakarzinom
Behandlungsbedingter Bluthochdruck als Prognosefaktor

Mehrere Faktoren können die Entwicklung von Bluthochdruck (BH) bei Patienten mit PCa beeinflussen, die sich einer systemischen Behandlung unterziehen. Die Entwicklung von BH ist eine häufige Nebenwirkung sowohl der Androgenentzugstherapie (ADT) als auch bei Zugabe von Androgenrezeptor-Signalweg-Inhibitoren (ARSI).

Die retrospektive Real-World-Evidenzstudie umfasste 100 Patienten mit de novo mHSPC, die zwischen 2014 und 2021 eine Erstlinienbehandlung mit ADT, ADT + Docetaxel oder ADT + ARSI erhalten hatten und für die Daten zur Blutdruckmessung und/oder zum blutdrucksenkenden Medikament bei der Diagnose verfügbar waren, und/oder ein blutdrucksenkendes Medikament innerhalb von 7 Monaten nach Behandlungsbeginn verabreicht worden war. Daten zu klinischen Variablen, blutdrucksenkenden Medikamenten und Blutdruck wurden vom Beginn der Behandlung bis 7 Monate nach Beginn der ADT gesammelt. Die BH-Entwicklung innerhalb von 7 Monaten nach Beginn der Hormonbehandlung wurde gemäß den Common Toxicity Criteria for Adverse Events bewertet, und für die Zeit bis zur Kastrationsresistenz (TTCR) und das Gesamtüberleben (OS) Cox-Analysen durchgeführt.

Ergebnisse
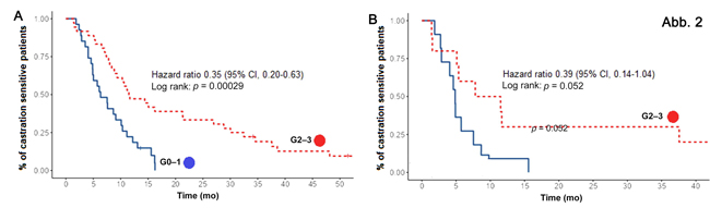
Insgesamt war die Entwicklung eines Bluthochdrucks Grad (G) 2–3 innerhalb von 7 Monaten nach Beginn der Hormonbehandlung mit verbesserter TTCR und OS sowohl bei univariaten (TTCR: 19,8 vs. 7,9 Monate, als auch multivariaten Analysen verbunden (Abb. 1 + 2).

Eine Subgruppenanalyse der mit ADT + ARSI behandelten Patienten ergab, dass ein 7-monatiger behandlungsbedingter G2–3-Bluthochdruck sowohl in Bezug auf die multivariaten Überlebensanalysen TTCR als auch OS ein unabhängiger positiver Prognosefaktor ist (HR: 0,30, p=0,040 bzw. HR: 0,12, p=0,008).

 
Abb. 1: Gesamtüberleben (OS) nach Hypertoniegrad 7 Monate nach Behandlungsbeginn in der (A) Gesamtpopulation und (B) mit ARSI behandelten Patienten. Kaplan-Meier-Kurven sind das Ergebnis der univariaten Analyse. ARSI = Androgenrezeptor-Signalweg-Inhibitor; CI = Konfidenzintervall.
 
 
Abb. 2: Zeit bis zur Kastrationsresistenz (TTCR) nach Hypertoniegrad 7 Monate nach Behandlungsbeginn (A) Gesamtpopulation, (B) bei mit ARSI behandelten Patienten. Kaplan-Meier-Kurven sind das Ergebnis der univariaten Analyse. ARSI = Androgenrezeptor-Signalweg-Inhibitor; CI = Konfidenzintervall.
 

Die Beobachtungen legen nahe, dass bei de novo mHSPC die frühe Entwicklung von Bluthochdruck unter Hormonbehandlungen zu einer verbesserten Krebskontrolle führt.

Die Entwicklung von Bluthochdruck während der PCa-Behandlung ist nicht nur eine Nebenwirkung der Therapie, sondern kann auch eine Manifestation verschiedener biologischer Prozesse und systemischer Faktoren sein, die Einfluss auf das Fortschreiten des Prostatakarzinoms ausüben können.



❏ Bei Patienten mit neu diagnostiziertem mHSPC, die sich einer Hormonbehandlung unterziehen, kann die Entwicklung eines Bluthochdrucks ein unabhängiger Prognosefaktor für eine verlängerte Zeit bis zur Entwicklung der Kastrationsresistenz und ein längeres OS sein.



Salfi G, Pedrani M, Candan S, et al. 2025. Treatment-related Hypertension as a Prognostic Factor for De Novo Metastatic Hormone-sensitive Prostate Cancer: A Retrospective Real-world Evidence Study. Eur Urol Open Science 71: 1-10.


Mrz 2025 Red.
fusszeile

 
       © 2003-2026 pro-anima medizin medien   –   impressum   –   mediadaten   –   konzeption
  –   datenschutz